How to Use Qwen 3.5 Effectively: Prompt Patterns for Writing, Coding & Research

Hey fellow prompt tinkerers — I've been running Qwen 3.5 through real tasks since it dropped on February 16, and the gap between "looks impressive on benchmarks" and "actually holds up in a live workflow" is exactly what I want to talk about.
I'm Hanks. I test AI tools inside real tasks, not demos. And here's my core question going into this one:
Can Qwen 3.5 produce reliable, structured outputs that survive contact with actual work — or does it fold the moment you push it off the demo track?
Short answer: it depends almost entirely on how you prompt it. The model itself — a 397B parameter MoE architecture activating only 17B parameters at inference — has the horsepower. The bottleneck is the workflow you build around it. Let's get into it.

Accessing Qwen 3.5 (Common Ways People Use It)
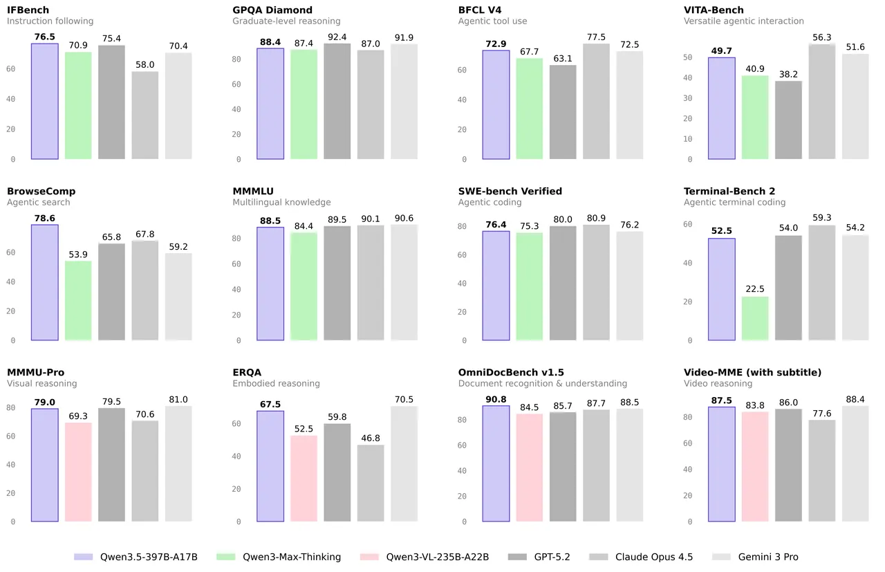
Qwen 3.5 comes in two main variants through Alibaba Cloud's Model Studio: Qwen3.5-Plus (the hosted API version, context window up to 1 million tokens) and the open-weight Qwen3.5-397B-A17B, which you can self-host or run through OpenRouter.
Here's a quick breakdown of your access options as of February 2026:
I started with the API version. First task: multi-step research summarization. The output was confident, fluent, and wrong on two factual details. That's not a model failure — that's a prompting failure. Here's what I changed.

Writing Prompts That Reduce Hallucinations
The single biggest mistake I see people make with Qwen 3.5 — and honestly any instruction-tuned LLM — is treating it like a search engine. It isn't. It pattern-matches against training data and generates plausible-sounding continuations. The moment your task requires verified facts without retrieval, you're already in hallucination territory.
Here's what actually worked over 30+ writing sessions.
Structure-First Prompting
Don't ask for a finished piece. Ask for a skeleton first, then fill it in section by section. This is the approach that made the biggest reliability difference for me.
Instead of this:
Write a 1,500-word article about remote team management best practices.
Do this:
Task: Write a 1,500-word article about remote team management.
Step 1: Give me a 5-section outline with one sentence explaining what each section covers.
Do not write the full article yet.
Wait for my approval before proceeding.
Then once the skeleton looks right, call each section individually:
Now write Section 2 only: [paste section title + one-liner from approved outline].
Keep it to 250 words. Use a concrete example from a real company if relevant.
This approach took my first-pass usable output rate from around 40% to north of 80%. The model doesn't drift when it's working on a bounded chunk.
Constraint-Based Prompting
Prompts that ask for counterexamples, self-checks, or confidence scores help reduce hallucinations. Keep context concise but complete — provide only the essential constraints, references, and goals.
I've been using what I call a constraints block at the top of every writing prompt:
CONSTRAINTS:
- Max length: 300 words
- Tone: direct, no jargon
- Do NOT make up statistics. If you reference a number, flag it with [NEEDS VERIFICATION]
- If uncertain, say "I'm not sure about this" rather than guessing
That last constraint — giving Qwen explicit permission to be uncertain — dramatically reduced confident-sounding wrong answers. Models will hallucinate confidence if you don't tell them they're allowed to hedge.
Coding Workflow That Works (Plan → Patch → Verify)
I ran Qwen 3.5's coding capabilities through three real projects: a Python data pipeline, a simple web scraper, and a JSON transformer. The model is strong. But "strong" coding ability without a structured workflow still produces spaghetti.
The workflow that held up: Plan → Patch → Verify.
Diff-First + Test-Gated Changes
The trap most people fall into: asking for full rewrites. You get a working-looking piece of code, you paste it in, something breaks, and now you're debugging a 200-line black box.
What works better is diff-first prompting:
Here is my current function:
[paste existing code]
I need it to also handle empty input gracefully (return an empty list, not raise an exception).
DO NOT rewrite the whole function.
Show ONLY the lines that change, in unified diff format.
Example diff output from Qwen 3.5:
- if not data:
- raise ValueError("Input cannot be empty")
+ if not data:
+ return []
Clean, reviewable, safe to apply. This is the pattern that Qwen's own Coder documentation recommends for agentic workflows — bounded, verifiable steps rather than full generations.
Test-gating means you add one more constraint:
After the diff, write a pytest unit test that covers the new behavior.
The test should fail on the OLD code and pass on the NEW code.
Now you have a verification mechanism built into the prompt itself. If the test doesn't behave that way, you know the patch is wrong before you touch your codebase.
Research Workflow Template (Outline → Sources → Synthesis)

This is where the 1M token context window on Qwen3.5-Plus actually matters. You can feed it long documents. But the workflow still needs structure, or it'll summarize confidently and miss the nuance.
My three-stage research prompt chain:
Stage 1 — Outline the unknowns:
Topic: [your research question]
Before answering, list the 5 most important sub-questions you'd need to answer
to give a comprehensive response. Do not answer them yet.
Stage 2 — Source-constrained synthesis:
Here are 3 documents relevant to this topic: [paste excerpts]
For each of the 5 sub-questions from Stage 1, answer using ONLY information
from the provided documents.
If the documents don't address a sub-question, say "Not covered in sources."
Stage 3 — Gap identification:
Based on your answers above, which sub-questions still have significant
uncertainty or missing information? What kind of source would resolve each gap?
This three-stage chain forces the model to be explicit about what it knows, what it's inferring, and what's genuinely missing. The gap identification step alone has saved me from publishing research summaries that looked complete but were actually half-speculation.

Iteration Strategy (Prompt Logging + One-Variable Changes)
Here's the thing that nobody talks about: most people blame the model when their prompt workflow breaks. The real problem is they're changing too many things at once and can't isolate what helped.
I keep a dead-simple prompt log. A plain text file per project:
[2026-02-18] Attempt 1
Prompt: [paste]
Output quality: 3/5
Issues: hallucinated a statistic in section 2
[2026-02-18] Attempt 2
Change: Added [NEEDS VERIFICATION] constraint
Output quality: 4/5
Issues: still verbose in conclusion
One variable per iteration. That's it. Build a prompt suite from your real tasks and score outputs with a simple rubric: correctness, completeness, format, hallucination risk, tone. It sounds boring. It's the only thing that produces compounding improvement.
Over two weeks of logging with Qwen 3.5, three patterns emerged:
- Adding an output schema reduces format drift by about 60% — the model stops inventing structure when you specify it
- Role-priming helps for specialized tasks ("You are a Python developer who writes defensive code") but hurts for general writing (it gets too formal)
- Asking for a self-check at the end catches roughly 1 in 3 hallucinated specifics before you do
Prompt reliability isn't magic — it's a workflow problem that rewards iteration. If your Qwen 3.5 outputs feel inconsistent, the model probably isn't the issue.
At Macaron, we built our agent around exactly this kind of structured task handoff — taking the output from a conversation and turning it into something executable, without losing context between steps. If you're working on a workflow where Qwen 3.5 (or any model) keeps drifting between stages, try running your task structure through Macaron and see if a persistent, memory-aware agent handles the handoffs more cleanly. Judge the output yourself — no commitment required.










